Стало відомо, скільки за жовтень заробили нардепи від Волині
Депутатам Верховної Ради дев'ятого скликання нарахували зарплату за жовтень. Про це йдеться у відповіді апарату парламенту на запит LIGA.net.
Найбільше за попередній місяць отримав перший віце-спікер Руслан Стефанчук - 54 100 грн. Голова Ради Дмитро Разумков заробив 44 600 грн, а віце-спікер Олена Кондратюк - 45 400.
Голови фракцій і груп отримали за жовтень наступні суми:
- Давид Арахамія (Слуга народу) - 36 700;
- Юрій Бойко та Вадим Рабінович (ОПЗЖ) - 38 800 і 32 800;
- Юлія Тимошенко (Батьківщина) - 43 400 грн,
- Артур Герасимов та Ірина Геращенко (Європейська солідарність) - 38 800 і 36 500 грн;
- Сергій Рахманін (Голос) - 40 700;
- Тарас Батенко та Віктор Бондар (За майбутнє) - по 41 300 грн.
Найменшу зарплату за жовтень отримала депутат із Євросолідарності Ірина Луценко - трохи менше 20 000 грн.
Скільки заробили представники Волині у Раді:
Нардеп від Волині Ігор Гузь, який представляє у раді 19 округ, за жовтень заробив 39 572 гривень. Його колега Вячеслав Рубльов (партія «Слуга народу», 20 округ) оримає 42 539 гривень. Представнику 21 округу Волині Степану Івахіву за жовтень нарахували 36 970 гривень.
Народний депутат від округу №22 Ігор Палиця отримає 43 529 гривень зарплати. Депутатка Ірина Констанкевич, яка представляє у Раді 23 округ, заробила 44 518 гривень, а Валерій Стернійчук, який пройшов до Ради за списком партії «Слуга народу»), заробив за минулий місяць 41 301 гривень.
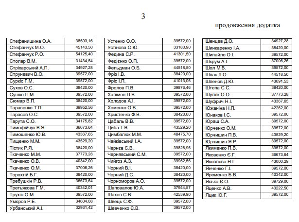
Повний список зарплат:
Бажаєте дізнаватися головні новини Луцька та Волині першими? Приєднуйтеся до нашого каналу в Telegram!
Найбільше за попередній місяць отримав перший віце-спікер Руслан Стефанчук - 54 100 грн. Голова Ради Дмитро Разумков заробив 44 600 грн, а віце-спікер Олена Кондратюк - 45 400.
Голови фракцій і груп отримали за жовтень наступні суми:
- Давид Арахамія (Слуга народу) - 36 700;
- Юрій Бойко та Вадим Рабінович (ОПЗЖ) - 38 800 і 32 800;
- Юлія Тимошенко (Батьківщина) - 43 400 грн,
- Артур Герасимов та Ірина Геращенко (Європейська солідарність) - 38 800 і 36 500 грн;
- Сергій Рахманін (Голос) - 40 700;
- Тарас Батенко та Віктор Бондар (За майбутнє) - по 41 300 грн.
Найменшу зарплату за жовтень отримала депутат із Євросолідарності Ірина Луценко - трохи менше 20 000 грн.
Скільки заробили представники Волині у Раді:
Нардеп від Волині Ігор Гузь, який представляє у раді 19 округ, за жовтень заробив 39 572 гривень. Його колега Вячеслав Рубльов (партія «Слуга народу», 20 округ) оримає 42 539 гривень. Представнику 21 округу Волині Степану Івахіву за жовтень нарахували 36 970 гривень.
Народний депутат від округу №22 Ігор Палиця отримає 43 529 гривень зарплати. Депутатка Ірина Констанкевич, яка представляє у Раді 23 округ, заробила 44 518 гривень, а Валерій Стернійчук, який пройшов до Ради за списком партії «Слуга народу»), заробив за минулий місяць 41 301 гривень.
Повний список зарплат:
Бажаєте дізнаватися головні новини Луцька та Волині першими? Приєднуйтеся до нашого каналу в Telegram!
Якщо Ви зауважили помилку, виділіть її та натисніть Ctrl+Enter для того, щоб повідомити про це редакцію
Коментарі 3
Не заробили, а отримали, бо щоб заробити - треба працювати, а там кнопку по команді тиснути треба, хіба ж то робота, то і мавпу навчити можна робити. Он якась "слуга" внесла правки в закон, всі покивали і послали її поправки куди подалі, бідна плакала, зрозуміла, що вона ніхто і не залежить від неї нічого, навіть якщо ти у провладній партії, бо ти просто для масовки...
Це 15 разів більше, ніж пенсія батьків, вдов загиблих в АТО. Нормально?
Треба забрати в них ці зарплати! Нехай безкоштовно працюють, дармоєди.
Останні новини
У школі на Волині – проблеми з інтернетом та бракує комп'ютерів
02 листопада, 2019, 12:38
Волинські вчителі взяли участь в навчанні з тероборони
02 листопада, 2019, 12:20
Стало відомо, скільки за жовтень заробили нардепи від Волині
02 листопада, 2019, 11:50
У Луцьку «оселилися» нові кликуни. ФОТО
02 листопада, 2019, 11:23
У селищі на Волині відзначили перший день народження інклюзивного центру. ФОТО
02 листопада, 2019, 10:49
