На Волині буде 5 мажоритарних округів
У ЦВК підготували проект постанови про розподіл мажоритарних округів, згідно з яким Волинську область розділять на 5 округів.
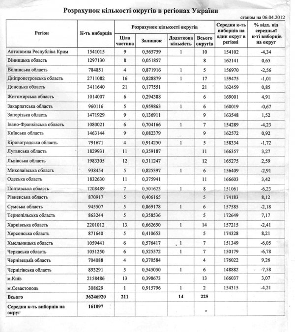
Судячи з проекту, мажоритарні округи будуть розподілені по областях України, виходячи винятково з математичних підрахунків, пише Тиждень.
Видання подає витяг з проекту постанови про розподіл округів, який йому передало джерело у Центрвиборчкомі.
Цей проект постанови підготували заступники голови ЦВК Андрій Магера та Жанна Усенко-Чорна. За даними видання, альтернативних проектів наразі не існує.
Раніше представники опозиції та експертного середовища неодноразово висловлювали стурбованість імовірними планами Партії регіонів штучно перерозподілити округи, збільшивши їхню кількість на Сході та Півдні України.
Нагадаємо, на останніх виборах до Верховної Ради, де використовувалася «мажоритарка», у 2002 році, в Україні утворили 225 одномандатних округів.
З них на Волинь припало п’ять: Володимир-Волинський (міста Володимир-Волинський, Нововолинськ, Володимир-Волинський, Іваничівський, Любомльський райони), Горохівський (Горохівський, Локачинський, Луцький, Рожищенський, Турійський райони), Ковельський (місто Ковель, а також Ковельський, Ратнівський, Старовижівський, Шацький райони), Луцький (до складу якого входило місто Луцьк) та Маневицький (Камінь-Каширський, Ківерцівський, Любешівський, Маневицький райони).
Бажаєте дізнаватися головні новини Луцька та Волині першими? Приєднуйтеся до нашого каналу в Telegram!
Судячи з проекту, мажоритарні округи будуть розподілені по областях України, виходячи винятково з математичних підрахунків, пише Тиждень.
Видання подає витяг з проекту постанови про розподіл округів, який йому передало джерело у Центрвиборчкомі.
Цей проект постанови підготували заступники голови ЦВК Андрій Магера та Жанна Усенко-Чорна. За даними видання, альтернативних проектів наразі не існує.
Раніше представники опозиції та експертного середовища неодноразово висловлювали стурбованість імовірними планами Партії регіонів штучно перерозподілити округи, збільшивши їхню кількість на Сході та Півдні України.
Нагадаємо, на останніх виборах до Верховної Ради, де використовувалася «мажоритарка», у 2002 році, в Україні утворили 225 одномандатних округів.
З них на Волинь припало п’ять: Володимир-Волинський (міста Володимир-Волинський, Нововолинськ, Володимир-Волинський, Іваничівський, Любомльський райони), Горохівський (Горохівський, Локачинський, Луцький, Рожищенський, Турійський райони), Ковельський (місто Ковель, а також Ковельський, Ратнівський, Старовижівський, Шацький райони), Луцький (до складу якого входило місто Луцьк) та Маневицький (Камінь-Каширський, Ківерцівський, Любешівський, Маневицький райони).
Бажаєте дізнаватися головні новини Луцька та Волині першими? Приєднуйтеся до нашого каналу в Telegram!
Якщо Ви зауважили помилку, виділіть її та натисніть Ctrl+Enter для того, щоб повідомити про це редакцію
Коментарі 1
Не мажоритарних, а мажорних. Нових облич нема, одні кандидати із пісні про вибори.
Вибір редактора
Останні новини
У луцькій мерії Кривицькому виділили окремий автомобіль
09 квітня, 2012, 15:48
Грабіжник відібрав у хлопця 2 тисячі гривень
09 квітня, 2012, 15:43
На Волині буде 5 мажоритарних округів
09 квітня, 2012, 15:24
40% українців думають, що у них хороше здоров'я
09 квітня, 2012, 14:46
