Відомо, які авто чиновників «підуть з молотка»
Секретаріат Кабінету Міністрів України визначив перелік транспортних засобів автопідприємства відомства, які планують реалізувати на аукціоні.
Про це повідомив Міністр Кабінету Міністрів України Остап Семерак у понеділок, 14 квітня, - пише УНН.
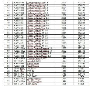
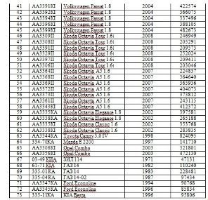
На торги буде виставлено 73 транспортні засоби.
Як повідомляла прес-служба Кабінету Міністрів, аукціон з продажу автомобілів, які має у своєму розпорядженні Секретаріат Кабінету Міністрів України, планується провести не пізніше першої половини червня цього року.
В аукціоні з продажу автомобілів зможуть взяти участь усі бажаючі. Процедура буде відкритою та прозорою.
Секретаріат Кабінету Міністрів інформуватиме суспільство про перебіг підготовки до аукціону.
Бажаєте дізнаватися головні новини Луцька та Волині першими? Приєднуйтеся до нашого каналу в Telegram!
Про це повідомив Міністр Кабінету Міністрів України Остап Семерак у понеділок, 14 квітня, - пише УНН.
На торги буде виставлено 73 транспортні засоби.
Як повідомляла прес-служба Кабінету Міністрів, аукціон з продажу автомобілів, які має у своєму розпорядженні Секретаріат Кабінету Міністрів України, планується провести не пізніше першої половини червня цього року.
В аукціоні з продажу автомобілів зможуть взяти участь усі бажаючі. Процедура буде відкритою та прозорою.
Секретаріат Кабінету Міністрів інформуватиме суспільство про перебіг підготовки до аукціону.
Бажаєте дізнаватися головні новини Луцька та Волині першими? Приєднуйтеся до нашого каналу в Telegram!
Якщо Ви зауважили помилку, виділіть її та натисніть Ctrl+Enter для того, щоб повідомити про це редакцію
Коментарі 3
Кто хочет мерс почти с миллионом пробега :)
якісь всі старі авто
Там пробігі діліть на 2. Це звичайна фішка водіїв. Накручувати пробіг і списувати пальне)))
Останні новини
Навколо Слов’янська сепаратисти будуватимуть базу, - політолог
14 квітня, 2014, 21:39
Державні дачі Ющенка та Януковича продадуть
14 квітня, 2014, 21:29
Відомо, які авто чиновників «підуть з молотка»
14 квітня, 2014, 20:46
Майно кандидатів у президенти: у кого більше. ІНФОГРАФІКА
14 квітня, 2014, 20:05
