Тричі являлася… брехня в інтерв’ю Ігоря Поліщука
Українців не здивуєш політиком, якого підловили на брехні. Пообіцяти най-най…, вилити відро бруду на опонента, розповісти гарну «казочку» про спільний план порятунку світу, додати кілька яскравих деталей для «красного» слівця – усе це типовий «маст хев» народного обранця.
Не став винятком і молодий та амбіційний керівник луцьких УКРОПівців Ігор Поліщук, який тільки робить перші кроки в містечковій політиці. Перебуваючи на посаді одного з радників мера(поки необраного), Поліщук з награною впевненістю формує перед камерами імідж лідера, господаря, керівника міста… І, на жаль, при цьому не цурається відвертої маніпуляції та брехні.
Новий 2018 рік Ігор Поліщук розпочав із півгодинного інтерв’ю телеканалу «Аверс» і щонайменше тричі обманув лучан.
ЧИТАТИ ТАКОЖ: ТОП-5 НЕВИКОНАНИХ ОБІЦЯНОК ІГОРЯ ПАЛИЦІ
БРЕХНЯ №1.
РЕКОРДНА КІЛЬКІСТЬ ВІДРЕМОНТОВАНИХ ДВОРІВ
Вихваляючись здобутками нової команди у 2017 році, Ігор Поліщук заявив, що вдалося зробити рекордну кількість ремонтів у луцьких дворах.
«Це був рік, коли за всю історію було зроблено найбільше прибудинкових територій», – резюмував політик.
Проте така інформація зовсім не відповідає дійсності.
У 2017 році здійснили капітальний ремонт на 40 прибудинкових територіях. Точно така ж цифра – 40 дворів – у звіті за 2016 рік. Крім того, із тих дворів, які зробили торік, половину розпочали іще в 2016-му.
Тобто, виходить, що у 2016 році капітально відремонтували 40 дворів, іще на 20 дворових територіях розпочали роботи. Наступного 2017 року завершили ремонт цих 20 дворів та зробили іще 20. Відтак, заявляти про рекордну кількість проведених ремонтів минулого року – некоректно. А тим більше – присвоювати «ремонтні» заслуги новій укропівській команді, адже бюджет на 2017 рік затверджувався, іще коли містом керував Микола Романюк.
До слова, відколи управляти ремонтами дворів почала «нова команда», вартість робіт відчутно зросла. Для 20 дворів, які почали ремонтувати в 2016-му, проектно-кошторисну документаціюзатверджували представники попередньої влади і на ці двори витратили 11,5 мільйони в 2016 році ітрохи менше 10 мільйонів – в 2017 році. Загалом – 21 мільйон. А от 20 дворів, які почали ремонтувати укропівці, обійшлися місту в 31,5 мільйон!
Цікава й інша деталь: про успіхи в роботі Ігор Поліщук говорить на фоні відремонтованих вулиць Лесі Українки та Кривий Вал. Проте команда УКРОПу не сприяла цим ремонтам, а навпаки – активно критикувала, робила усе можливе і неможливе, щоб цих робіт не відбулося. Стосовно реконструкції вулиці Лесі Українки мали місце скарги в прокуратуру, тиск на правоохоронні органи, на контрольно-ревізійні служби…
Ігор Поліщук особисто активно «боровся» з ідеєю ремонту вулиці Кривий Вал. Зокрема, мав претензії до вартості робіт – 4,7 мільйони. «На жаль, не вистачило голосів, щоб підтримати пропозицію виключити цю вулицю з переліку тих, на які передбачено фінансування (4,7 млн грн.), обговорити адекватний бюджет, об'єм робіт і концепцію ремонту. І лише потім повернутися до питання виділення коштів на такий ремонт. На наступній сесії повернемося до цього питання знову.Дякую тим депутатам, які підтримали вказану пропозицію. Поборемось...» – написав Поліщук на своїй сторінці у Фейсбуці 28 жовтня 2016 року. Проте «боровся» недовго.
Щойно керувати містом почав УКРОП, проект реконструкції затвердили. Підрядником обрали ту ж фірму, яку так справно критикував Поліщук, а вартість робіт зменшилась АЖ до 4,57 млн грн. І тепер в інтерв’ю молодий політик не цурається вихвалятись саме цими ремонтами…
БРЕХНЯ №2.
ДОБУДУВАТИ 27-МУ ШКОЛУ ЗАВАЖАЄ КИЇВ
Для того, щоб пояснити, у чому Ігор Поліщук збрехав, треба дослівно процитувати його відповідь на запитання, хто ж винен у тому, що луцьку школу № 27 досі не відкрили.
«Стоїть перепоною безвідповідальність окремих осіб. Небажання людей, які відповідають, по виділенню коштів з держбюджету, закінчити цю школу. Тому що, я хочу сказати, в минулому році Луцькою міською радою було виділено 20 мільйонів на цю школу. 10 мільйонів фактично пішло на саму школу, 10 мільйонів ми витратили на дорогу, яка веде до школи. Тому що до школи абсолютно не було доїзду, не можливо було ні доїхати, ні дойти. Ми не можемо здавати школу без нормального доїзду. Там була абсолютно відсутня дорога, це вулиця Липинського. 15 мільйонів прийшло по соціально-економічному розвитку, із державного фонду регіонального розвитку прийшло нуль гривень. На жаль. Я думаю, що це – результат роботи облдержадміністрації», – розповів Ігор Поліщук, перекрутивши факти двічі.
По-перше, для того, щоб збудувати дорогу на вулиці Липинського, не обов’язково було забирати половину із виділених 20 мільйонів на школу. Ця вулиця була внесена у графік ремонтів ще на початку 2016 року (рішенням міськради №3/27від 02.02.2016). Тому фінансувати роботи мали б у звичному порядку, а не забираючи гроші із будівництва школи. До того ж, у бюджеті така можливість була: місто закінчило рік із невикористаними залишками у розмірі 100 мільйонів!
До того ж, ця вулиця не забезпечує прямий шлях до школи, вона розташована поруч, але не примикає до навчального закладу.Проблема про «доїхати і дійти» і досі є актуальною: навколо школи – суцільне болото.
По-друге, Ігор Поліщук нарікає на те, що будівництво провалилося через невиділені гроші із держбюджету. А кількома реченнями пізніше сам говорить про «15 мільйонів, які прийшли по соціально-економічному розвитку»… Ці гроші – ніщо інше, як кошти, які місто отримало з державного бюджету.
Тому у виступі Поліщука про горе-школу правдою є лише одна теза. За тим, що роботи спускають на «гальма» «стоїть безвідповідальність окремих осіб», каже радник. І це дійсно так. Бо причиною недобудови є аж ніяк не відсутність грошей (згадаймо про 100 мільйонів невикористаних залишків бюджету!), а звичайний політичний розрахунок.
Школа насправді добудована, усі будівельні роботи завершені. Для того, щоб запустити в її стіни учнів, залишилося тільки встановити сантехніку і закупити обладнання та меблі. «Ми вже навіть опалюємо приміщення і миємо підлоги», – так оцінює готовність об’єкту забудовник.
Але команда УКРОПу не поспішає, бо їм «не на руку» відкрити такий важливий соціальний об’єкт і визнати, що посприяв цьому їхній політичний опонент нардеп Ігор Лапін. До того ж, будує школу фірма депутата облради теж від конкуруючої політсили: мова йде про обранця Леоніда Стефановича (БПП «Солідарність»).
УКРОП не бачить жодного резону додавати політичних балів своїм опонентам, тому і вставляє палки в колеса у вигляді мінус десяти мільйонів, які забрали на нібито важливу дорогу. А те, що розмінною монетою виступає школа – ні Поліщука, ні його партійних босів нітрохи не хвилює.
БРЕХНЯ №3.
«ЛУЦЬКТЕПЛО» МАЄ ДЯКУВАТИ ПАЛИЦІ
Напередодні Нового року у Луцьку виникла загроза лишитися з холодними батареями. Іще з 2011 року «Луцьктепло» боргує величезну суму приватним структурам, і через те, що зовсім припинили виплачувати, отримали позов до суду. Програли, і як результат – виконавча служба заблокувала усі рахунки. Підприємство, яке забезпечує роботу усіх міських котелень, лишилося паралізованим…
29 грудня УКРОП поділився радісною звісткою: завдяки дзвінку Ігоря Палиці міністрові Петренку проблему вирішили… Але таке брехливе повідомлення відразу спростували люди, які «в темі».
«…вчергове видали бажане за дійсне, та ще й як завжди останнім часом - досить цинічно. Виявляється, голова обласної ради Ігор Палиця подзвонив до міністра юстиції Петренка та відразу вирішив надважливе питання – розблокування рахунків найбільшого комунального підприємства «Луцьктепло». Телефонне право знову повернулось?! А чому не дзвонив півроку тому, як що так можна швидко вирішити питання напряму з міністром?! Але, насправді, це чергова брехня з вуст укропівців, адже цілий день в міністерстві юстиції працювала з цього питання директор підприємства Валентина Малютіна і саме її робота з колегами принесла бажаний позитивний результат!» – розповів про ситуацію депутат Луцькради Павло Данильчук.
Тим часом на офіційному сайті «Луцьктепла» з’явилося повідомлення, яке закінчувалося неоднозначною заявою: «І не телефонні дзвінки у владні кабінети вирішують долю підприємства, а команда, яка бачить ціль і крокує до останнього, аби лучани мали тепло у оселях».
Кількома днями пізніше директорка «Луцьктепла» Валентина Малютіна написала у Фейсбуці, що проблема із заблокованими рахунками остаточно вирішена і подякувала за сприяння… аж ніяк не Ігорю Палиці, а голові облдержадміністрації Володимиру Гунчику.
Попри те, що укропівців чітко поставили на місце і безпосередньо колектив «Луцьктепла» вказав на справжню роль Ігоря Палиці в цій проблемній ситуації (аби попіаритись), Ігор Поліщук не соромиться і далі «гнути свою лінію» та виставляти Палицю спасителем лучан.
«У нас була проблема, в «Луцьктепла» були заблоковані рахунки. І це проблема, яка завдяки Ігорю Петровичу Палиці, який дуже багато зробив для вирішення цієї проблеми, і вона вже знята, рахунки розблоковані», – сказав Ігор Поліщук в інтерв’ю, наплювавши на заяви працівників, проігнорувавши чіткі спростування тих, хто дійсно докладав зусилля для вирішення проблеми.
І папір, й ефір в українських реаліях давно звик до цинічної брехні політиків. І цього разу стерпить…
Ірина ЗАДОРОЖНА (для «ВолиньPost»)
Бажаєте дізнаватися головні новини Луцька та Волині першими? Приєднуйтеся до нашого каналу в Telegram! Також за нашим сайтом можна стежити у Twitter та Instagram.
Не став винятком і молодий та амбіційний керівник луцьких УКРОПівців Ігор Поліщук, який тільки робить перші кроки в містечковій політиці. Перебуваючи на посаді одного з радників мера(поки необраного), Поліщук з награною впевненістю формує перед камерами імідж лідера, господаря, керівника міста… І, на жаль, при цьому не цурається відвертої маніпуляції та брехні.
Новий 2018 рік Ігор Поліщук розпочав із півгодинного інтерв’ю телеканалу «Аверс» і щонайменше тричі обманув лучан.
ЧИТАТИ ТАКОЖ: ТОП-5 НЕВИКОНАНИХ ОБІЦЯНОК ІГОРЯ ПАЛИЦІ
БРЕХНЯ №1.
РЕКОРДНА КІЛЬКІСТЬ ВІДРЕМОНТОВАНИХ ДВОРІВ
Вихваляючись здобутками нової команди у 2017 році, Ігор Поліщук заявив, що вдалося зробити рекордну кількість ремонтів у луцьких дворах.
«Це був рік, коли за всю історію було зроблено найбільше прибудинкових територій», – резюмував політик.
Проте така інформація зовсім не відповідає дійсності.
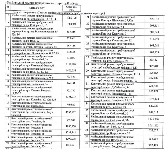
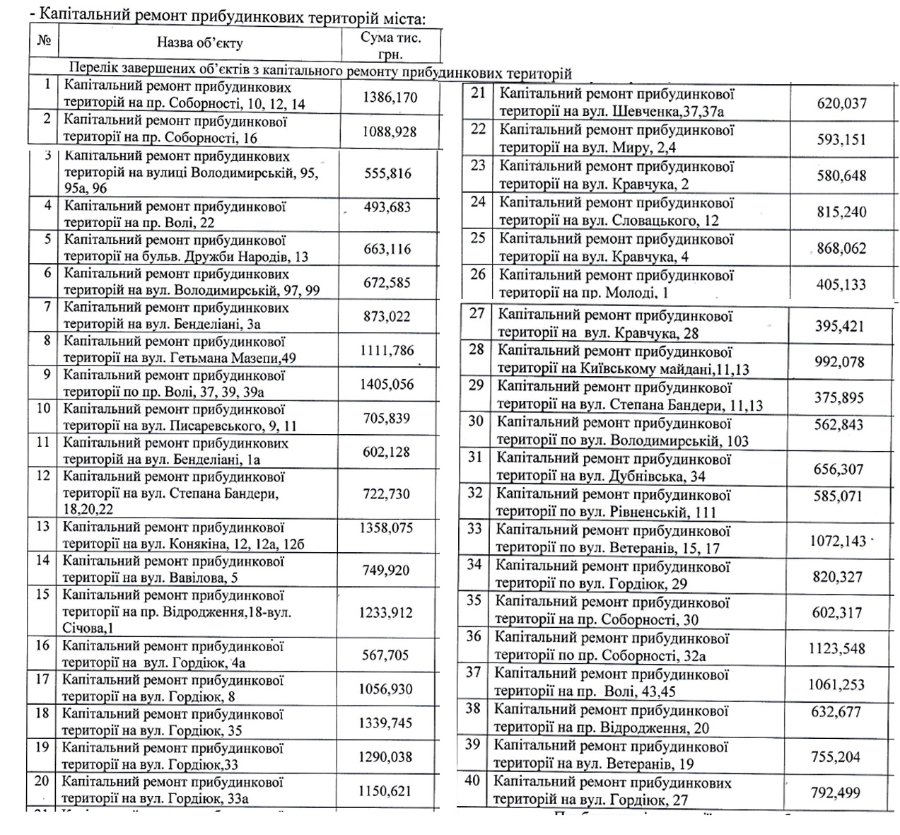
У 2017 році здійснили капітальний ремонт на 40 прибудинкових територіях. Точно така ж цифра – 40 дворів – у звіті за 2016 рік. Крім того, із тих дворів, які зробили торік, половину розпочали іще в 2016-му.
Тобто, виходить, що у 2016 році капітально відремонтували 40 дворів, іще на 20 дворових територіях розпочали роботи. Наступного 2017 року завершили ремонт цих 20 дворів та зробили іще 20. Відтак, заявляти про рекордну кількість проведених ремонтів минулого року – некоректно. А тим більше – присвоювати «ремонтні» заслуги новій укропівській команді, адже бюджет на 2017 рік затверджувався, іще коли містом керував Микола Романюк.
До слова, відколи управляти ремонтами дворів почала «нова команда», вартість робіт відчутно зросла. Для 20 дворів, які почали ремонтувати в 2016-му, проектно-кошторисну документаціюзатверджували представники попередньої влади і на ці двори витратили 11,5 мільйони в 2016 році ітрохи менше 10 мільйонів – в 2017 році. Загалом – 21 мільйон. А от 20 дворів, які почали ремонтувати укропівці, обійшлися місту в 31,5 мільйон!
Список капремонтів, які зробили у 2017 році. Виділене червоним – розпочали ще в 2016 році, а завершили торік
Цікава й інша деталь: про успіхи в роботі Ігор Поліщук говорить на фоні відремонтованих вулиць Лесі Українки та Кривий Вал. Проте команда УКРОПу не сприяла цим ремонтам, а навпаки – активно критикувала, робила усе можливе і неможливе, щоб цих робіт не відбулося. Стосовно реконструкції вулиці Лесі Українки мали місце скарги в прокуратуру, тиск на правоохоронні органи, на контрольно-ревізійні служби…
Ігор Поліщук особисто активно «боровся» з ідеєю ремонту вулиці Кривий Вал. Зокрема, мав претензії до вартості робіт – 4,7 мільйони. «На жаль, не вистачило голосів, щоб підтримати пропозицію виключити цю вулицю з переліку тих, на які передбачено фінансування (4,7 млн грн.), обговорити адекватний бюджет, об'єм робіт і концепцію ремонту. І лише потім повернутися до питання виділення коштів на такий ремонт. На наступній сесії повернемося до цього питання знову.Дякую тим депутатам, які підтримали вказану пропозицію. Поборемось...» – написав Поліщук на своїй сторінці у Фейсбуці 28 жовтня 2016 року. Проте «боровся» недовго.
Щойно керувати містом почав УКРОП, проект реконструкції затвердили. Підрядником обрали ту ж фірму, яку так справно критикував Поліщук, а вартість робіт зменшилась АЖ до 4,57 млн грн. І тепер в інтерв’ю молодий політик не цурається вихвалятись саме цими ремонтами…
Журналістка «Аверсу», на жаль, не запитала, чому Ігор Поліщук передумав і погодився, що відремонтувати вулицю – слушна ідея
БРЕХНЯ №2.
ДОБУДУВАТИ 27-МУ ШКОЛУ ЗАВАЖАЄ КИЇВ
Для того, щоб пояснити, у чому Ігор Поліщук збрехав, треба дослівно процитувати його відповідь на запитання, хто ж винен у тому, що луцьку школу № 27 досі не відкрили.
«Стоїть перепоною безвідповідальність окремих осіб. Небажання людей, які відповідають, по виділенню коштів з держбюджету, закінчити цю школу. Тому що, я хочу сказати, в минулому році Луцькою міською радою було виділено 20 мільйонів на цю школу. 10 мільйонів фактично пішло на саму школу, 10 мільйонів ми витратили на дорогу, яка веде до школи. Тому що до школи абсолютно не було доїзду, не можливо було ні доїхати, ні дойти. Ми не можемо здавати школу без нормального доїзду. Там була абсолютно відсутня дорога, це вулиця Липинського. 15 мільйонів прийшло по соціально-економічному розвитку, із державного фонду регіонального розвитку прийшло нуль гривень. На жаль. Я думаю, що це – результат роботи облдержадміністрації», – розповів Ігор Поліщук, перекрутивши факти двічі.
По-перше, для того, щоб збудувати дорогу на вулиці Липинського, не обов’язково було забирати половину із виділених 20 мільйонів на школу. Ця вулиця була внесена у графік ремонтів ще на початку 2016 року (рішенням міськради №3/27від 02.02.2016). Тому фінансувати роботи мали б у звичному порядку, а не забираючи гроші із будівництва школи. До того ж, у бюджеті така можливість була: місто закінчило рік із невикористаними залишками у розмірі 100 мільйонів!
До того ж, ця вулиця не забезпечує прямий шлях до школи, вона розташована поруч, але не примикає до навчального закладу.Проблема про «доїхати і дійти» і досі є актуальною: навколо школи – суцільне болото.
По-друге, Ігор Поліщук нарікає на те, що будівництво провалилося через невиділені гроші із держбюджету. А кількома реченнями пізніше сам говорить про «15 мільйонів, які прийшли по соціально-економічному розвитку»… Ці гроші – ніщо інше, як кошти, які місто отримало з державного бюджету.
Тому у виступі Поліщука про горе-школу правдою є лише одна теза. За тим, що роботи спускають на «гальма» «стоїть безвідповідальність окремих осіб», каже радник. І це дійсно так. Бо причиною недобудови є аж ніяк не відсутність грошей (згадаймо про 100 мільйонів невикористаних залишків бюджету!), а звичайний політичний розрахунок.
Школа насправді добудована, усі будівельні роботи завершені. Для того, щоб запустити в її стіни учнів, залишилося тільки встановити сантехніку і закупити обладнання та меблі. «Ми вже навіть опалюємо приміщення і миємо підлоги», – так оцінює готовність об’єкту забудовник.
Але команда УКРОПу не поспішає, бо їм «не на руку» відкрити такий важливий соціальний об’єкт і визнати, що посприяв цьому їхній політичний опонент нардеп Ігор Лапін. До того ж, будує школу фірма депутата облради теж від конкуруючої політсили: мова йде про обранця Леоніда Стефановича (БПП «Солідарність»).
УКРОП не бачить жодного резону додавати політичних балів своїм опонентам, тому і вставляє палки в колеса у вигляді мінус десяти мільйонів, які забрали на нібито важливу дорогу. А те, що розмінною монетою виступає школа – ні Поліщука, ні його партійних босів нітрохи не хвилює.
Будівництво дороги на вул. Липинського було заплановане іще в 2016 році, і забирати гроші з 27-ої школи не було потреби
Звісно, ремонт вулиці Липинського покращив ситуацію, але все ж не повністю вирішив проблему доїзду/доходу до школи № 27
Уряд не відмовлявся допомогти в добудові школи. Нардеп Лапін розповів про 5 мільйонів, та пізніше було виділено 15 мільйонів для добудови закладу
БРЕХНЯ №3.
«ЛУЦЬКТЕПЛО» МАЄ ДЯКУВАТИ ПАЛИЦІ
Напередодні Нового року у Луцьку виникла загроза лишитися з холодними батареями. Іще з 2011 року «Луцьктепло» боргує величезну суму приватним структурам, і через те, що зовсім припинили виплачувати, отримали позов до суду. Програли, і як результат – виконавча служба заблокувала усі рахунки. Підприємство, яке забезпечує роботу усіх міських котелень, лишилося паралізованим…
29 грудня УКРОП поділився радісною звісткою: завдяки дзвінку Ігоря Палиці міністрові Петренку проблему вирішили… Але таке брехливе повідомлення відразу спростували люди, які «в темі».
«…вчергове видали бажане за дійсне, та ще й як завжди останнім часом - досить цинічно. Виявляється, голова обласної ради Ігор Палиця подзвонив до міністра юстиції Петренка та відразу вирішив надважливе питання – розблокування рахунків найбільшого комунального підприємства «Луцьктепло». Телефонне право знову повернулось?! А чому не дзвонив півроку тому, як що так можна швидко вирішити питання напряму з міністром?! Але, насправді, це чергова брехня з вуст укропівців, адже цілий день в міністерстві юстиції працювала з цього питання директор підприємства Валентина Малютіна і саме її робота з колегами принесла бажаний позитивний результат!» – розповів про ситуацію депутат Луцькради Павло Данильчук.
Тим часом на офіційному сайті «Луцьктепла» з’явилося повідомлення, яке закінчувалося неоднозначною заявою: «І не телефонні дзвінки у владні кабінети вирішують долю підприємства, а команда, яка бачить ціль і крокує до останнього, аби лучани мали тепло у оселях».
Кількома днями пізніше директорка «Луцьктепла» Валентина Малютіна написала у Фейсбуці, що проблема із заблокованими рахунками остаточно вирішена і подякувала за сприяння… аж ніяк не Ігорю Палиці, а голові облдержадміністрації Володимиру Гунчику.
Попри те, що укропівців чітко поставили на місце і безпосередньо колектив «Луцьктепла» вказав на справжню роль Ігоря Палиці в цій проблемній ситуації (аби попіаритись), Ігор Поліщук не соромиться і далі «гнути свою лінію» та виставляти Палицю спасителем лучан.
«У нас була проблема, в «Луцьктепла» були заблоковані рахунки. І це проблема, яка завдяки Ігорю Петровичу Палиці, який дуже багато зробив для вирішення цієї проблеми, і вона вже знята, рахунки розблоковані», – сказав Ігор Поліщук в інтерв’ю, наплювавши на заяви працівників, проігнорувавши чіткі спростування тих, хто дійсно докладав зусилля для вирішення проблеми.
І папір, й ефір в українських реаліях давно звик до цинічної брехні політиків. І цього разу стерпить…
Ірина ЗАДОРОЖНА (для «ВолиньPost»)
Бажаєте дізнаватися головні новини Луцька та Волині першими? Приєднуйтеся до нашого каналу в Telegram! Також за нашим сайтом можна стежити у Twitter та Instagram.
Якщо Ви зауважили помилку, виділіть її та натисніть Ctrl+Enter для того, щоб повідомити про це редакцію
Коментарі 4
Останні новини
Долар та євро різко впали: курс на 1 травня
Сьогодні, 03:11
Магнітні бурі: чого очікувати від сонячної активності 1 травня
Сьогодні, 01:30
1 травня на Волині: гортаючи календар
Сьогодні, 00:00
Ціни на картоплю суттєво впали: дефіцит може змінити ситуацію
30 квітня, 23:19
У Ковелі завершили термомодернізацію ліцею за підтримки ЄІБ
30 квітня, 22:43

Поліщук - це одне з тих щупальців того спрута, як і пихатий і недалекий Пустовіт, як іуди Ткачук, Була, Козлюк і т.д.
Достатньо відірвати голову цьому спруту і ті щупальця перетворяться в гнилі черви, не здатні до самостійного мислення, самостійного життя.
А враховуючи, що голова постійно сидить в Швейцарії, стає очевидним, що голова все ж боїться за свою голову.
А її об'явили заасвальтованою. Ой хлопці не гарно. Колись з вас таки спитають.